Složení vanilkových lusků
Úvod
V tomto článku se dozvíte vše podstatné o složení vanilkových lusků, o obsahu vanilinu v luscích z pěstitelsky nejvýznamnějších oblastí světa, se kterými se u nás na trhu můžete setkat. Tim si i vysvětlíme rozdíl ve složení mezi jednotlivými odrůdami vanilky a také pochopíme rozdíl v chuti mezi vanilkovým extraktem a pravým vanilkovým luskem. Nakonec získáte vědomosti, díky kterým budete vědět, proč raději používat pravé vanilkové lusky, než syntetizovaný vanilkový extrakt. Nejdříve se ale pusťme do obecného přehledu o vanilkovém lusku.

Vanilkový lusk
Vanilkový lusk je fermentovaný a sušený plod orchideje původem ze střední ameriky, z oblasti dnešního Mexika, odkud se dále rozšířil do celého světa. Nejvýznamnější země, ze kterých pocházejí vanilkové lusky jsou Madagaskar, Réunion, Mauricius, Uganda, Indonésie, Mexiko, Karibské ostrovy, Papua Nová Guinea, Tahiti, India a Srí Lanka. V těchto zemích se pak pěstují některé ze čtyř odrůd vanilovníku. Jedná se o odrůdy Vanilla planifolia, Vanilla tahitensis, Vanilla pompona.
Zmíněné odrůdy se liší nejen svým tvarem a velikostí, ale i vůní a chutí a to díky podnebí, pěstebním podmínkám a procesu zpracování v daném regionu. Nejvýznamnější složkou, díky které vděčí vanilkový lusk za svou popularitu je vanilin, který dodává lusku nezaměnitelnou chuť a vůni a jehož obsah je také v závislosti na odrůdě a způsobu zpracování mírně odlišný. Podívejme se tedy společně na složení vanilkových lusků.
Složení vanilkových lusků
Typická nasládlá chuť a vůně se rozvíjí během procesu fermentace lusků, o které jsme podrobněji psali v našem souhrnném článku Vše o vanilce. Obsah nutrientů a chemických sloučenin je pohyblivé, v závislosti na odrůdě vanilky, oblasti pěstování, způsobu zpracování a velikosti vanilkového lusku. Obecně vanilka obsahuje přibližně 25 % sacharidů, 15 % tuku 15 - 30 % celulózy a přibližně 6 % minerálních látek, přičemž obsah vlhkosti je okolo 30 - 35 % u kvalitních, ne zcela vysušených lusků. Za předpokladu, že máme veliký, kvalitní lusk o velikosti cca 20 cm, který váží zhruba okolo 4,8 g, odrůdy Vanilla planifolia, je nutriční složení následující.

Vanilkový lusk dále obsahuje přibližně 250 chemických sloučenin, přičemž 85 % tvoří těkavý vanilin, chemicky 4-hydroxy-3-methoxybenzaldehyd, který se řadí mezi fenoly, tedy aromatické sloučeniny, ethery a aldehydy a má chemický vzorec C8H8O3. Další sloučeniny, které obsahují vanilkové lusky jsou pak kyseliny, alkoholy, estery, karbonylové sloučeniny, fenoly a fenolethery, laktony, alifatické a aromatické uhlíkové hydráty a heterocyklické sloučeniny. Všechny tyto látky společně s vanilinem ovlivňují konečné chuťové vlastnosti a vůni vanilky, která je u vanilly tahitensis odlišná a to díky obsahu vonné látky ze skupiny aldehydů zvané heliotropin (3,4-methylendioxybenzaldehyd). Nejdůležitějšími aromatickými složkami vanilky tedy jsou:
- vanilin (do 85 % obsahu)
- p-hydroxybenzaldehyd (do 9 % obsahu)
- p-hydroxybenzylmethylether (do 1 % obsahu)
- fenoly, alkoholy a laktony
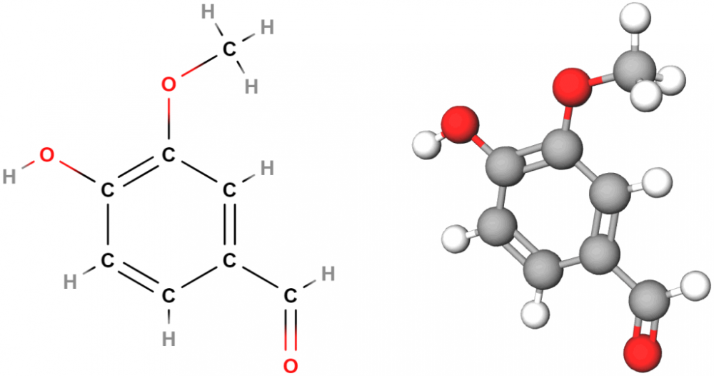
Vanilin patří do skupiny benzaldehydů, které mají methoxy a hydroxy substituenty v polohách 3 a 4. Má význam jako rostlinný metabolit, protizánětlivá látka, aromatická látka, antioxidant a antikonvulzivum, neboli antiepileptikum. Strukturní vzorec vanilinu C8H8O3 ve 2D i 3D je zobrazen níže.

Jak již bylo zmíněno, mění se obsah vanilinu podle oblasti, kde se vanilovník pěstuje a může se pohybovat od 1,18 do 2,4 %. Největší obsah vanilinu mají vanilkové lusky Vanilly planifolie z Madagaskaru a Réunionu. Není neobvyklé setkat se s nekvalitními vanilkovými lusky, které nedosahují minimálního standardu 2 % obsahu vanilinu. Níže je přehled obsahu vanilinu dle hlavních producentů na světě.
|
Země - producent |
Obsah vanilinu v % |
|
Madagaskar |
2,0 - 2,4 % |
|
Réunion |
2,0 - 2,4 % |
|
Mexiko |
1,75 % |
|
Karibik |
1,75 % |
|
Indonésie |
1,75 % |
|
Tahiti |
1,70 % |
|
Srí Lanka |
1,50 % |
|
Indie |
1,50 % |
Obsah vlhkosti se u vanilkových lusků liší s ohledem na kvalitativní třídu a době sušení lusků. Obvykle se vlhkost lusků pohybuje mezi 20 až 22 %, u nejkvalitnějších lusků však okolo 33 až 35 %.
Vanilkové extrakty
Vanilkový extrakt je definován dle standardu USA jako vodný roztok v etylalkoholu kyselých a vonných látek extrahovaných z vanilkových bobů. Jednonásobný extrakt musí obsahovat nejméně 378,18 gramů extraktivní složky vanilkových lusků, při vlhkosti 25 % a nejméně 35 % objemových alkoholu. Vše pod 35 % objemových alkoholu musí být označeno pouze jako “vanilková příchuť”. Další povolené látky v extraktu pak mohou být glycerin, kukuřičný sirup, cukr a propylenglykol. Podle standardů USFDA (americká vládní agentura - Úřad pro kontrolu potravin a léčiv), je jednoduchý vanilkový extrakt připraven ze 75 g vysušených vanilkových lusků a trojnásobný vanilkový extrakt je vyroben z 225 g sušených vanilkových lusků.

Vanilkové extrakty jsou různých druhů a koncentrací, vyrobeny fyzikálně-chemickými postupy, systémy extrakcí s rozpouštědly, přičemž je sledován a kontrolován pouze obsah vanilinu, avšak ne technologie výroby. Koncentrovaný vanilkový extrakt je obecně vyroben odstraněním části rozpouštědla, nejběžněji vakuovou destilací až do doby, kdy je dosaženo požadované koncentrace. Problémem destilace je však to, že se při procesu ničí některé z aromatických látek komplexní vanilkové příchutě.
Přírodní vanilkový extrakt se vyrábí, přímo z vanilkových lusků v obsahu okolo 20 g extraktu na 1 kg čisté hmotnosti s obsahem dalších sloučenin, které se přirozeně vyskytují ve vanilkovém lusku a které jsme si popsali v předcházející kapitole. Přírodní extrakt se připravuje rozdrcením vanilkových lusků a naložením do směsí alkoholu a vody po určitou dobu a dané teplotě. Tyto proměnné (teplota a čas) pak ovlivňují sílu přírodního vanilkového extraktu. Přírodní vanilkové extrakty se obvykle vyrábějí třemi hlavními metodami:
- perkolační metodou
- oleoresinovou metodou
- superkritická kapalinová extrakce
Perkolační metoda extrakce
Základem perkolační metody je cirkulace rozpouštědla roztoku ethanolu a vody skrze vanilková zrníčka ve vakuu. Proces může trvat mezi 48 až 72 h. Použitím této metody lze získat přibližně 4x silnější extrakt vanilinu.
Oleoresinova metoda extrakce
Metoda je založena na rozmělnění zrníček vanilkového lusku, nad kterými cirkuluje ethanol ve vakuu při teplotě okolo 45 °C. Proces trvá mezi 8 až 9 h, přičemž se odpaří přebytečný alkohol. Po extrakci se roztok klarifikuje, neboli čistí pomoci centrifugy nebo filtrace a následně nechává stárnout po dobu zhruba 1 roku. Tímto procesem lze získat přibližně 10x silnější extrakt vanilinu, který se následně prodává jako zředěný ethanolový extrakt.
Superkritická kapalinová extrakce
Jde o dvoustupňový proces, který využívá k extrakci oxid uhličitý (CO2) na jeho kritickou teplotou 31 °C a kritickým tlakem 7,4 MPa (74 barů). Přes rozemleté lusky se do extraktoru přivádí CO2 pomocí vysokotlakého čerpadla pod tlakem 10 - 35 MPa (100 - 350 barů). CO2 je pak odváděn do separátoru, kde se extrakt vysráží za snížené teplotě a tlaku 6 - 12 MPa (60 - 120 barů). CO2 je pak recyklován zpět do procesu extrakce. Extrakty vyrobené timto postupem nejsou biologicky kontaminovány, mají vysoký obsah aktivních složek a delší interval skladovatelnosti a neobsahují žádná zbytková rozpouštědla a pesticidy. Tento proces je také finančně nejnákladnější, což se promítá na ceně takto vyrobeného vanilkového extraktu.
Označování vanilkových extraktů
Kvůli různorodosti použití a vlastnímu značení výrobců, neexistuje jednotná metrika označování vanilkových extraktů, nicméně i tak zde předkládáme několik základních názvů, se kterými se můžete setkat na etiketách vanilkových extraktů.

Čistý vanilkový extrakt, tekutý
Vyrábí se z vanilkových lusků, alkoholu a vody, někdy s přidaným cukrem a musí obsahovat nejméně 35 % alkoholu.
Vanilkový extrakt
Ať už příchuť, nebo prášek, jde o vanilkový extrakt, ke kterému bylo přidáno 28 g vanilinu na každý požadovaný násobek extraktu. Extrakt má obsah alkoholu nejméně 35 %, ovšem pokud jde o vanilkovou příchuť má obsah alkoholu méně než 35 %. Prášek pak obsahuje extrakt z 378,18 gramů vanilkových lusků a 28 g vanilinu na 450 g suché směsi.
Absolutní vanilka
Jde o 7 až 13x silnější extrakt, než kvalitní vanilkový lusk avšak postrádá ostatní vanilkové nuance. Připravuje se buď z vanilkových lusků extrakcí vodným alkoholem s následným odstraněním rozpouštědla, nebo lusků, které byly proplachovány uhlovodíkovým rozpouštědlem.
Vanilkova tinktura
Tinktura se liší od extraktů obsahem alkoholu, který je vyšší, než 35 %, někdy až 95 %.
Vanilkový oleoresin
Jde o polotuhý koncentrát získaný odstraněním rozpouštědla z vanilkového extraktu, přičemž chuť i vůně je znatelně horší než u běžných vanilkových extraktů.
Umělý vanilkový extrakt
Jde o vanilkový prášek smíchaný s vodou a alkoholem.
Přírodní vanilková příchuť
Jde o směs čistého vanilkového extraktu a látek extrahovaných z jiných přírodních zdrojů, než z vanilkových lusků, obvykle v glycerinovém nebo propylenglykolovém základu. Spadají zde všechny druhy vanilkových směsí.
Vanilkový prášek
Je to směs sušených a mletých vanilkových lusků a/nebo vanilkového oleoresinu, v kombinaci se sacharidovým nosiče a tekutým činidlem. Prášek obsahuje jednu vanilkovou složku na 3,6 kg hotového produktu.
Umělý vanilin
Levná forma vanilinu vyráběna syntézou z guajakolu, derivátu uhelného dehtu, nebo z ligninu, což je vedlejší produkt z papírenského průmyslu. Vanilin syntetizovaný z obou složek má podobný chuťový profil. Syntetický vanilin je v USA označován jako “umělý”, avšak v Evropě je považován za “přírodně identický”. Všehovšudy více než 250 složek tvoří komplexní chuťový profil vanilky, avšak takto syntetizovany vanilin simuluje pouze 1 z těchto 250 složek nalezených v přírodní vanilce a dodávající ji jedinečnou chuť a jak bylo řečeno výše, vanilin zastupuje pouze jedinou složku v přírodní vanilce v množství maximálně 2,4 %.
Ethylvanilin
Je syntetizovaná chemická látka, která chutná podobně jako vanilin, ovšem s 2,5x silnější chtí. Běžně se používá jako napodobenina vanilky.

Vanilková příchuť
Jde o směs čistého vanilkového extraktu s napodobeninou vanilky nebo nejčastěji syntetického vanilinu. Jde tedy o jakoukoliv směs, která obsahuje méně než 35 % etylalkoholu.
Napodobenina vanilky
Jde o směs syntetických látek, někdy v kombinaci s Ethylvanilinem, které napodobují chuť a vůni vanilky. Jde často o propylenglykol, který se nachází rovněž v automobilových nemrznoucích směsích a může zanechávat nahořklou pachuť.
Shrnutí
Současný trend v přípravách potravin vede spíše k použití vanilkových extraktů, díky přívětivější cenové dostupnosti. Ve většině případů jde však maximálně o vanilkovou příchuť, ethylvanilin, umělý vanilin nebo přírodní vanilkovou příchuť. Fyzikálně-chemické procesy přípravy vanilkových extraktů však vedou ke zničení části látek, které tvoří komplexní složení kvalitního vanilkového lusku s obsahem zhruba 250 látek oddávající vanilce jedinečný chuťový profil. Jako zlatý standard je mezi vanilkovými lusky považována vanilka Bourbon z Madagaskaru a to i s ohledem na obsah vanilinu, který je ve vanilce z této oblasti nejvyšší. Pokud vám záleží na intenzivní a plné chuti vašich pokrmů, bez umělých podtónů, určitě dejte na kvalitní vanilkové lusky, nejlépe se známkou bioproduktu, jaké naleznete právě u nás.
